Copyright © 2017 四川众森同越科技有限公司 All rights reserved. 蜀ICP备13020921号
毕业季临近,不少大学生的毕业论文进入大众视野,让不少人产生共鸣。当论文致谢落笔的一刻,文字的意义具象化,从进入幼儿园那一刻大哭不止,到大学论文致谢落下最后一笔,上学是这段时间里最重要的事情。“致谢”原本是一种学术礼仪,用于对完成论文时给予帮助的人一一表达谢意。由于论文通常是学业完成的最后一关,“致谢”也逐渐演变为一个发表感慨、倾诉自我的地方,成为全文最浪漫的一个篇章。
一定意义上来说,论文致谢其实是一种庄重而又特殊的仪式。论文致谢的落笔代表着毕业论文的完成,真正从学生身份转变为社会人,为大学生活画上句号,开启新一段的旅程。
论文致谢并不仅仅只是单纯的文字抒发,而是对大学求学生活的总结,感谢指导老师、家人、同学一路陪伴。致谢师长,“桃李不言,下自成蹊”;致谢家人,“他们倾尽最好的一切供我求学”;致谢同学,“每一个难关都不再孤单”;致谢自己,“追风赶月莫停留,平芜尽处是春山”……每一次的致谢,都是发自内心的表达。
有很多篇致谢让我们感动:某南大学生在致谢里首先感谢的是党和国家。她来自西部欠发达地区,受益于国家专项计划得以走出山区,进入南大接受最好的教育。国家专项计划、高校专项计划、地方专项计划并称高考三大计划,旨在促进教育公平,让更多的学生有机会走出大山,接触到优质的教育资源,实现自己的人生价值,这些计划的实施不仅改变了无数学生的命运,也让我们看到了国家对于教育公平的重视和努力。
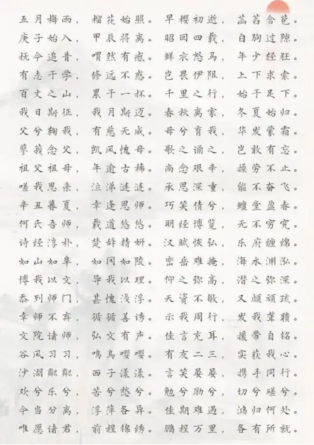
湖北大学某学生的“诗经体”论文致谢火爆朋友圈,这篇致谢是一种古代文人墨客的精华与自我感受的熔铸。以诗经体行文,一是为回应老师给学生们的、同为诗经体的送别诗,二是她对《诗经》本身的热爱。这篇致谢全文共368字,四字一句读,一笔一深情,概述了难忘的成长感悟。
透过这一篇篇致谢,我们读出致谢的其中深意,读出了对学术的尊重、对知识的敬畏,短短致谢,是对自己求学生涯的总结,代表作者获得了阶段性的学术成果;我们读出了对生活的希冀,从大山走出,一步一步到梦想的学习殿堂,每一步都是努力的证明,尽管物质生活匮乏,却从未放弃对梦想的拼搏,对知识的渴望。
更多意义上,“论文致谢体”的流行,不是一次文体的创新,而是一次集体有意识的表达,在更漫长的时光深处,这类表达引起一代又一代人内心深处的共鸣,激励更多学生越过人生的山丘。论文致谢有终结的篇章,但人生的书本没有结尾,人生每一章的结束,都是一段新旅程的开始,祝愿所有毕业生毕业快乐,愿你们保持奔跑的步伐,书写独属于自己人生的篇章。
(部分图片以及素材来源于网络;侵权请直接联系删除)
Copyright © 2017 四川众森同越科技有限公司 All rights reserved. 蜀ICP备13020921号